Влияние вертикального расчленения слоя глины на осадку, рассчитанную в программе Settle3
Канадская компания Rocscience, основанная в 1996 году на базе Университета Торонто, стала одним из мировых лидеров по разработке, усовершенствованию и распространению 2D и 3D программного обеспечения для инженеров-строителей, горных инженеров и инженеров-геологов. На сайте данной компании недавно появилась интересная статья «Влияние вертикального расчленения слоя глины на результаты расчета первичной консолидационной осадки в программе Settle3». Ее автором является Ахмед Аль-Муфти – член команды программного обеспечения в Rocscience, опытный специалист в сферах геомеханики, геотехники и численного анализа, доктор наук (в нашем журнале уже был опубликован перевод его предыдущей статьи на сайте Rocscience). Предлагаем вниманию читателей адаптированный перевод данной работы.
Введение
Осадка слоя глины может быть традиционно оценена на основе консолидационных испытаний образцов в приборах компрессионного сжатия (в условиях одномерной консолидации). На рисунке 1 показана идеализированная полулогарифмическая компрессионная кривая – скорректированный график изменений коэффициента пористости (вертикальная ось) в зависимости от вертикального эффективного напряжения (горизонтальная ось, логарифмический масштаб).
Рис. 1. Идеализированная полулогарифмическая компрессионная кривая (Сс – индекс компрессии; Сr – индекс рекомпрессии (разгрузки))
Для нормально уплотненного грунта, когда напряжение предварительного уплотнения (преконсолидации) равно природному давлению (эффективному напряжению от веса вышележащих отложений в естественных условиях), осадка рассчитывается следующим образом:
где коэффициент переуплотнения OCR, или σ'vm/σ'vo, равен единице; напряжение меняется вдоль линии первичной компрессии; Сс – индекс компрессии; H0 – толщина глинистого слоя; e0 – начальный природный коэффициент пористости, соответствующий начальному природному эффективному напряжению σ'vo.
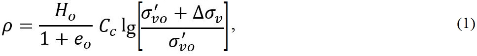
Когда OCR > 1, а природное эффективное напряжение меньше максимального напряжения предварительного уплотнения (преконсолидации), осадка рассчитывается по линии преконсолидации/реконсолидации. А если дополнительное напряжение ∆σv приводит к тому, что напряжение становится выше σ'vm, то к осадке добавляется еще одна часть, так как точка напряжения снова будет находиться на линии первичной консолидации.
Если OCR > 1, а конечное эффективное напряжение σ'vf = σ'vo + ∆σv все еще меньше σ'vm, то осадка рассчитывается по формуле:
Если конечное напряжение σ'vf становится больше σ'vm, то осадка рассчитывается так:
Параметр Cr – это индекс рекомпрессии (разгрузки).
Инженеры-геологи обычно усредняют свойства глины по всей толщине ее слоя и для расчета осадки используют одно уравнение на основе эффективных напряжений в середине этого слоя по данным бурения.
Как работает программа Settle3?
Для получения более точных результатов программа Settle3 разделяет исследуемый слой глины на подслои. Свойства грунта могут меняться в зависимости от глубины – следовательно, пользователь может использовать вкладку Datum Dependency («Зависимости параметров») в диалоговом окне Soil Properties («Свойства грунта») (рис. 2).
Двумя наиболее важными параметрами, которые могут изменяться с глубиной, являются коэффициент пористости e и коэффициент переуплотнения OCR. В программе Settle3 переуплотнение может быть отражено также через параметр OCM (OverConsolidation Margin) – разницу между напряжением предварительного уплотнения и начальным вертикальным эффективным напряжением, постоянную во всем слое. Эффекты от изменений указанных параметров будут обсуждены позже.
Программа Settle3 вычисляет осадки для выбранных пользователем условий расчета с помощью так называемых точек (пунктов, строк) запроса. В данном случае условие в точке запроса – это выбранное пользователем количество подслоев в каждом слое (рис. 3). Соответствующее диалоговое окно включает обозначение точки запроса, параметры вывода результатов запроса на экран и метод, используемый для вертикального расчленения слоев. Параметры расчленения по умолчанию устанавливаются автоматически, но пользователь может изменить это – например так, чтобы подслои были одинаковой толщины или чтобы каждый слой разделялся на определенное количество подслоев.
Любое число, большее единицы, разделит исследуемый слой на подслои. И осадка этого слоя будет представлять собой сумму осадок всех подслоев, то есть:
где i – номер подслоя внутри рассматриваемого слоя, который разделен на n подслоев.
Таким образом, для каждого слоя программа рассчитывает толщину, исходные и конечные эффективные напряжения (в зависимости от метода, принятого пользователем для распределения напряжений), исходный коэффициент пористости, напряжение предварительного уплотнения (из введенных исходных данных по переуплотнению в окне Soil Properties – «Свойства грунта») и/или любые другие показатели свойств, которые меняются с глубиной, такие как индекс компрессии Сc, индекс набухания Сs (приблизительно равный индексу рекомпрессии Cr) и т. д.
Разделение исследуемого слоя на подслои приведет к другому (по сравнению с единым слоем) значению общей осадки из-за нелинейного характера логарифмических частей уравнений, и разница будет увеличиваться с усложнением распределения напряжений и изменений свойств грунта с глубиной. Влияние расчленения слоя на эту разницу будет меньше, если метод, выбранный для расчета осадки, является линейным относительно коэффициента сжимаемости mv. И разница исчезает, если напряжение распределяется по глубине равномерно (линейно). Конечно, чем меньше толщина слоя относительно площади нагружения, тем меньше разница между рассчитанными осадками для единого слоя со средними характеристиками и для ряда подслоев с меняющимися свойствами грунта.
С другой стороны, нелинейный метод при изменениях свойств грунта с глубиной и нелинейном распределении напряжений приведет к большим различиям между результатами расчетов для единого слоя и для ряда подслоев.
Примеры и обсуждение
Чтобы продемонстрировать влияние вертикального расчленения слоя глины на результирующую расчетную осадку в программе Settle3, была испытана модель, учитывающая равномерную нагрузку величиной 100 кПа, приложенную к слою глины толщиной 10 м. Были выбраны следующие показатели свойств глины:
- исходный коэффициент пористости e0 = 1,0;
- индекс компрессии Cc = 0,4;
- индекс рекомпрессии Cr = 0,04;
- коэффициент переуплотнения OCR = 1,0 (характерный для нормально уплотненной глины);
- удельный вес водонасыщенного грунта γsat = 20 кН/м3.
Эти свойства остаются неизменными по всей толщине слоя, чтобы уменьшить количество переменных и сконцентрироваться на главном вопросе – вертикальном расчленении данного пласта. Подземные воды берутся с поверхности земли, и для облегчения ручных расчетов вводится удельный вес воды 10 кН/м3.
К поверхности на большой площади, равной 200 м x 200 м, прикладывается нагрузка величиной 100 кПа, которая равномерно передается по глубине без использования распределения напряжений (нулевой угол для распределения во вкладке General («Главные») окна Project Settings («Параметры проекта») программы Settle3, рис. 4). Это сохраняет величину ∆σv неизменной по всей толщине слоя.
Рассматривается только первичная осадка и только в слое глины. Для вертикального расчленения слоя с помощью диалогового окна Query Point («Точка запроса») добавлено шесть точек запроса, каждой из которых присвоено свое число подслоев:
- точка А – для выбора единого слоя (количество подразделений, или подслоев, равно единице);
- точки B, C и D – для 2, 4 и 100 подслоев соответственно;
- последняя точка F – для автоматической разбивки слоя.
На рисунке 5 показаны итоги расчетов на основе модели 1 для нормально уплотненной глины: план и трехмерные изображения с вычисленными осадками. Понятно, что результаты оценки осадок для разных точек запроса получаются разными, за исключением точек D и E, для каждой из которых количество подразделений должно быть равно 100. Слой глины, показанный зеленым цветом, имеет толщину 10 м, залегает у поверхности земли и непосредственно под поверхностной нагрузкой. Расчеты осадки в диалоговом окне Soil Properties («Свойства грунта») ограничиваются первичной компрессией (см. учебные материалы по пользованию программой Settle3 на сайте rocscience.com).
Ручной расчет осадки со средними характеристиками по всему слою легко произвести следующим образом:
где исходное эффективное напряжение 50 кПа рассчитано для середины толщины слоя.
Эта осадка получилась такой же, как и для точки запроса А в программе Settle3, где не было разделения на подслои (см. расчет (5) и рис. 5).
Сравнение с результатами вычислений для других точек запроса показывает, что увеличение количества подслоев увеличивает расчетную осадку, хотя автоматическое разделение слоя дало результат, который немного меньше, чем при 100 подслоях. На рисунке 6 показаны изменения общих осадок с глубиной для всех рассмотренных точек запроса в случае модели 1.
Модель 2 почти во всем аналогична предыдущей, но нормально уплотненная глина в ней заменена на переуплотненный слой глины с постоянным OCR = 2 независимо от глубины. Осадки для всех точек запроса при использовании этой модели представлены на рисунках 7 и 8.
Ручной расчет осадки слоя при среднем для него OCR = 2, то есть среднем σ'vm = 100 кПа, показывает, что конечное напряжение превышает максимальное напряжение предварительного уплотнения, так как оно составляет 150 кПа. Следовательно:
Заметим, что и этот результат получился таким же, как для точки запроса А в программе Settle3, где не было разделения на подслои (см. расчет (6) и рис. 7).
Как и для модели 1, увеличение количества подслоев привело к увеличению рассчитанной осадки. Однако в модели 2 осадка получилась меньше, чем в модели 1, из-за переуплотненнности грунта. На рисунке 8 показаны изменения общих осадок с глубиной для всех рассмотренных точек запроса в случае модели 2.
В модели 3 коэффициент переуплотнения изменяется с глубиной от 3 на уровне кровли слоя до 1 на уровне его подошвы. При использовании среднего значения OCR по единому слою осадка должна получиться такой же, как в модели 2, поскольку средний коэффициент переуплотнения в модели 3 равен постоянному OCR в модели 2 (сравните результаты для точки запроса А в моделях 2 и 3, см. рис. 7 и 9). Однако результаты для других точек запроса в этих моделях различаются, и это связано с вычислениями для каждого подслоя на основе его собственного OCR (изменяющегося с глубиной залегания подслоя). Полученные для модели 3 результаты представлены на рисунках 9 и 10.
Из рисунков видно, что влияние вертикального расчленения слоя глины на результат оценки осадки больше в случае переуплотненного грунта, чем в случае нормально уплотненного грунта из-за использования в расчетах индекса рекомпрессии Cr, и это еще более очевидно в случае изменений OCR с глубиной.
Влияние вертикального расчленения слоя глины на рассчитанную осадку при линейном изменении поведения грунта с глубиной
Модель с линейным изменением поведения грунта по глубине строится и используется для расчетов аналогично модели с нелинейным изменением. В этом случае значение mv выбирается близким к среднему ожидаемому следующим образом:
Данное значение и использовалось для расчетов в программе Settle3. Интересно, что в этом случае все точки запроса независимо от количества подслоев дали одинаковые результаты, которые также совпали с величиной, полученной при использовании среднего по единому слою, то есть:
Отсюда ясно, что вычисленная осадка грунта с линейным изменением поведения по глубине не будет зависеть от его вертикального расчленения (от точки запроса). Однако результаты расчетов могут быть различными для линейного и нелинейного случаев, даже если модуль упругости выбран очень тщательно.
Выводы и рекомендации
На основе обсуждения того, как влияет на рассчитанную осадку условное разделение слоя глины на подслои, можно сделать следующие выводы и дать следующие рекомендации.
1. Вертикальное расчленение слоя при нелинейных изменениях поведения грунта (нелинейном распределении напряжений) с глубиной приведет к другим значениям осадки по сравнению с традиционным использованием модели единого слоя со средними по его толщине свойствами и напряжениями.
2. Эта разница исчезнет в случае линейных изменений поведения грунта с глубиной.
3. Разница будет снижаться по мере уменьшения толщины слоя по отношению к площади нагружения.
4. Разделение слоя на подслои обычно более консервативно и в сумме дает более высокие рассчитанные осадки.
5. Рекомендуется увеличивать количество подслоев до тех пор, пока разница между осадками не будет в пределах приемлемой (допустимой), или по крайней мере выбрать автоматическое разделение слоя в программе Settle3.
6. Инженеру не следует ожидать одинаковых результатов от линейных и нелинейных методов, а следует принять решение, что выбрать.
7. Увеличение нелинейности изменений поведения грунта с глубиной приводит к большей разнице между рассчитанными осадками для разных количеств подслоев.
8. Это все носит общий характер и может применяться ко всем типам осадок и всем типам грунта (не только по отношению к глине).
Рекомендуемая дополнительная литература
- Lambe T.W., Whitman R.V. Soil Mechanics. John Wiley and Sons, 1969. Chapters 8, 12.
- Settle3 theory manuals. www.rocscience.com.
Источник для адаптированного перевода
Al-Mufty A. Effect of subdivision of a clay layer on the results of primary consolidation settlement in Settle3 // Rocscience. August 17, 2021. URL: rocscience.com/about/news-events/effect-of-subdivision-of-a-clay-layer-on-the-results-of-primary-consolidation-settlement-in-settle3?utm_medium=email&utm_source=rocnews&utm_campaign=August2021.
Журнал остается бесплатным и продолжает развиваться.
Нам очень нужна поддержка читателей.
Поддержите нас один раз за год
Поддерживайте нас каждый месяц




