Беседа об инновациях и технологическом развитии СРТ. Часть 4. СРТ и сваи
Захаров Михаил СергеевичПрофессор Национального открытого института, Санкт-Петербург, канд. геолого-минерал. наук, почётный изыскатель РФzhmike@mail.ruВ четвертой части беседы о СРТ речь пойдёт о наиболее востребованной в изысканиях и проектировании информации, получаемой с помощью статического зондирования. Это информация, которую даёт СРТ для обоснования свайных оснований.
В четвертой части беседы о СРТ речь идет о наиболее востребованной в изысканиях и проектировании информации, получаемой с помощью статического зондирования. Это информация, которую даёт СРТ для обоснования свайных оснований.
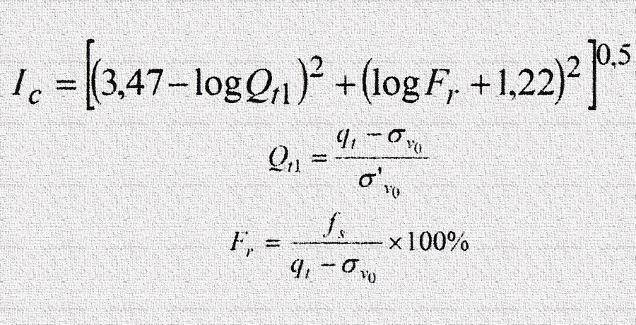
Прежде всего хотелось бы отметить господство определённых мифов в этой области, что привело к включению этого метода как обязательного при проектировании свайных оснований. На самом деле мы наблюдаем чисто формальное применение и самого метода СРТ, и весьма поверхностную интерпретацию результатов. Существует множество программ расчётов свайных оснований по результатам СРТ, но трудно найти сопоставление различных программ и получаемых результатов. В конечном счёте любой пользователь знает, что проектирование свайных оснований производится совсем не на основе данных СРТ, а по результатам пробного испытания свай. Специалисты, занимающиеся этим видом опытных работ, и геотехники, и инженер-геологи, почти никогда не сопоставляют результаты своих исследований с материалами СРТ и не испытывают к последним никакого доверия. СРТ им необходим только, чтобы соблюсти нормативные требования, как-то подтвердить геологический разрез на площадке испытания свай и выбрать глубину погружения опытных свай. Инженер-геологи к тому же плодят «доморощенные» программы расчёта несущей способности свай только в рамках нормативных требований. Научно-исследовательских работ и глубокого анализа в области использования материалов СРТ, в том числе для решения различных геотехнических задач, не видно. Отсюда засилье лабораторных методов исследования свойств грунтов, очень часто дающих совершенно искажённую картину о строении и свойствах массива, поскольку используются дискретная схема опробования с большим или меньшим нарушением сложения и свойств грунтов.
В области обработки и интерпретации СРТ большое значение имеет выбор компьютерной программы. Автор много работал в программе «Геологисмики», рекомендуемой проф. Робертсоном, и подтверждает её эффективность. Все упомянутые проблемы и определяют содержание четвёртой части беседы о СРТ.
ПОЛНЫЙ ТЕКСТ СТАТЬИ (24 страницы) ДОСТУПЕН В PDF ФОРМАТЕ. СКАЧАТЬ.
Журнал остается бесплатным и продолжает развиваться.
Нам очень нужна поддержка читателей.
Поддержите нас один раз за год
Поддерживайте нас каждый месяц


